培训信息
当前位置: 首页 >> 培训信息 >> 正文

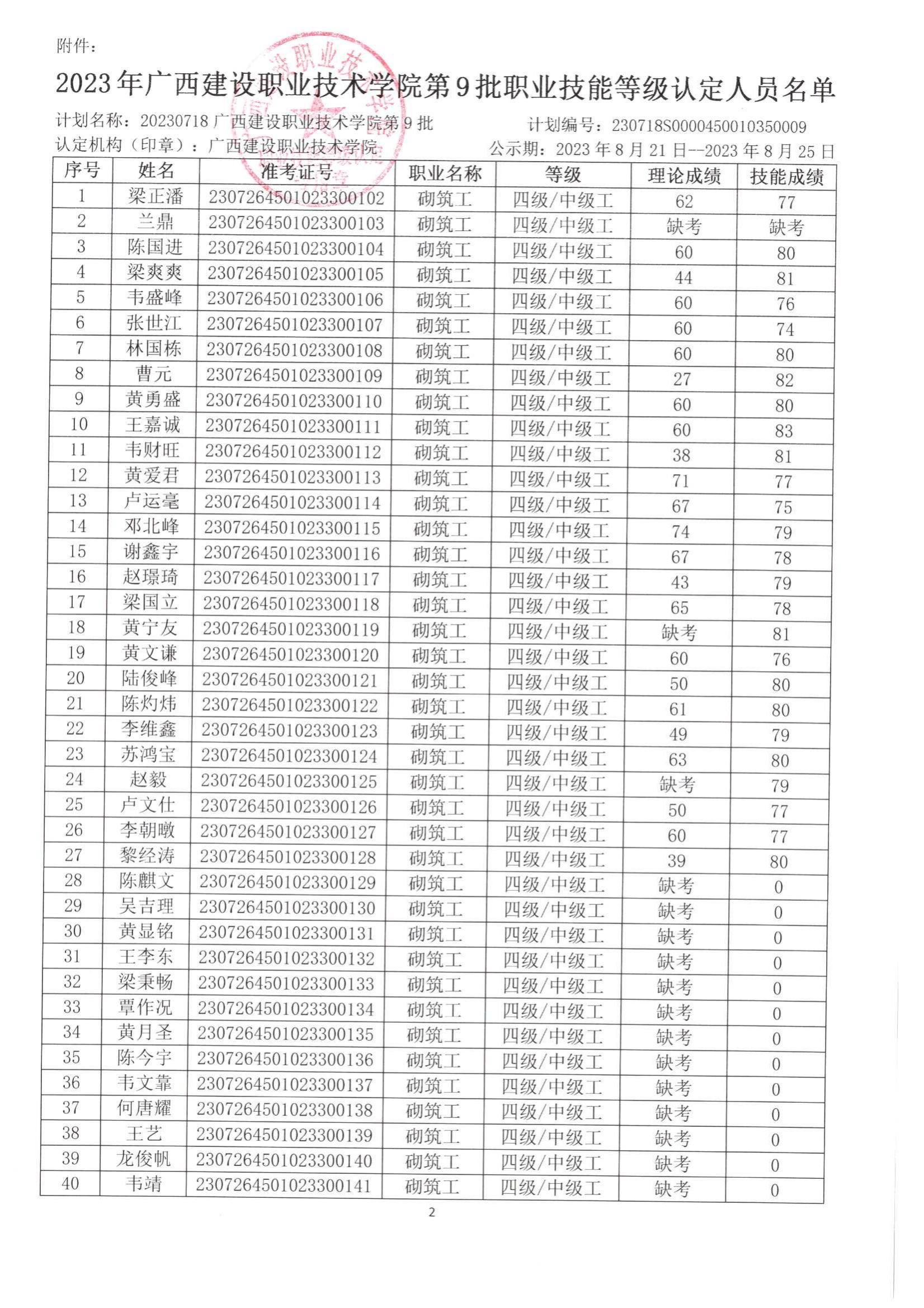
2023年乐鱼全球最大体育平台_乐鱼(中国)第9批职业技能等级认定人员成绩公示

发布日期:2023-08-21    点击:


乐鱼全球最大体育平台_乐鱼(中国)  版权所有 桂ICP备05014267号

乐鱼全球最大体育平台_乐鱼(中国)信息中心  技术支持